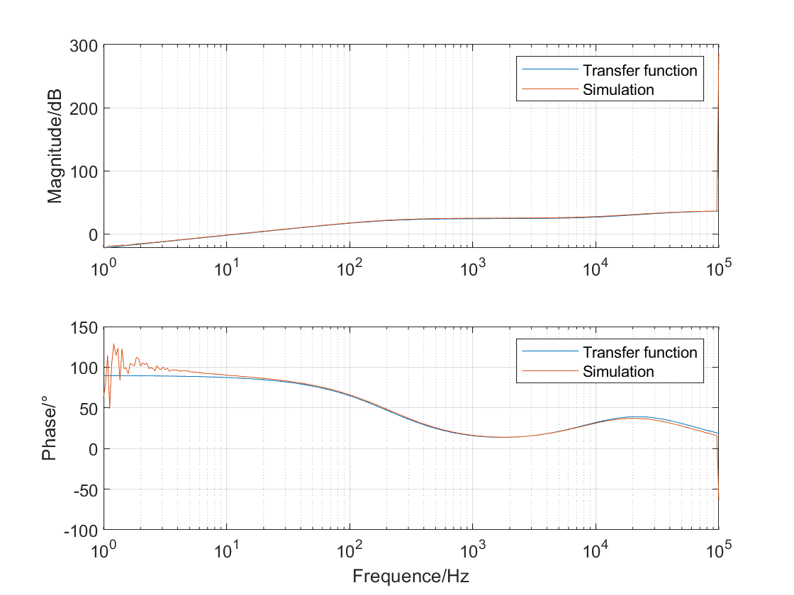
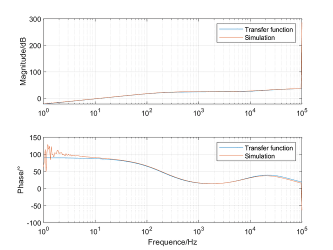
Hello, recently I have been using the small-signal analysis feature of PLECS to verify the closed-loop output impedance of the full-bridge converter. The phase-frequency curve in the low-frequency range of its Bode diagram shows distortion and cannot match the theoretical derived phase-frequency curve. What are the reasons for this situation?
Can you post a model for discussion? What analysis method in PLECS are you using? Does the theoretical function make certain assumptions?
Interesting. Can you please specify which measurement method you are using (Multitone, impulse, or AC sweep)? And what are the values of the setting parameters?
